Socioeconomic Inequalities in NHS Recruitment and Sickness Absence - Infographic

Socioeconomic Inequalities in NHS Recruitment and Sickness Absence

Academia

University of Liverpool / Mersey Care NHS Foundation Trust

2021-2022

NHS WorkforceHealth InequalitiesSickness AbsenceSocioeconomic DeprivationNegative Binomial RegressionSmall Area AnalysisAnchor InstitutionsR

Project Description

Published in BMJ Open (2022), this cross-sectional study examined how the workforce of one of England’s largest NHS organisations (Mersey Care NHS Foundation Trust) related to the socioeconomic profile of the communities from which it recruited, and how sickness absence rates varied across levels of deprivation.

The analysis used anonymised electronic staff records (ESR) for 7,274 substantive employees during the 2018-2019 financial year. Employee postcodes were linked to small area deprivation data (Index of Multiple Deprivation, IMD) at Lower Super Output Area level, covering 28 local authority areas across the North West of England.

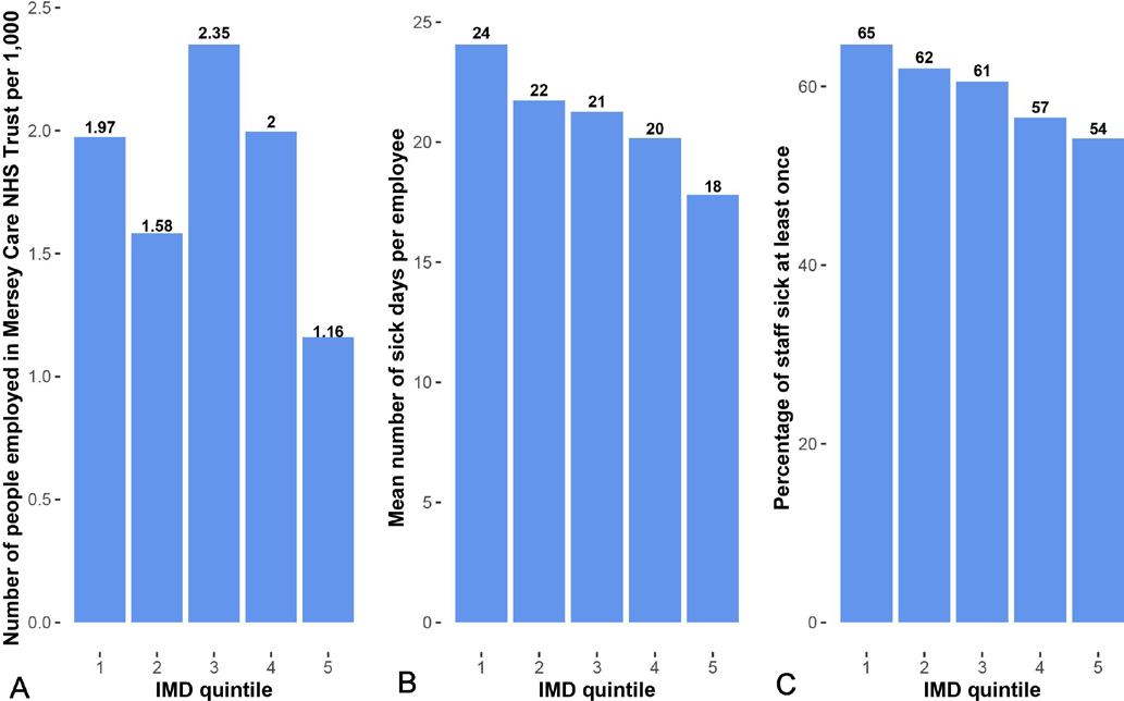
Key descriptive findings showed a strong recruitment gradient: 36% of the Mersey Care workforce lived in the most deprived quintile, compared with only 11% in the least deprived. The mean number of sickness absence days per employee was 22 days, with 61% of staff experiencing at least one absence episode in the year.

Negative binomial regression models revealed that employees from the most deprived areas had 1.41 times the sickness absence rate of those from the least deprived areas (after adjusting for age and sex). This gradient was largely explained by wage band and occupational group: employees on bands 1-2 (~£18,000-19,000 p.a.) had 2.5 times the sickness absence of those on bands 8-9, and nursing/midwifery staff had 1.8 times the absence rate of administrative and clerical staff. Both lower-wage and nursing/care roles were disproportionately filled by workers from deprived areas.

The study concludes that NHS organisations recruiting from deprived communities should anticipate higher sickness absence and invest in targeted, socioeconomically-sensitive workplace health policies, rather than one-size-fits-all approaches, to both retain staff and contribute to reducing health inequalities as an anchor institution.

Skills Used

  • R
  • Negative Binomial Regression
  • Small Area Analysis
  • Electronic Staff Records (ESR)
  • Index of Multiple Deprivation (IMD)
  • Workforce Health Analytics
  • NHS Data Linkage

Dr. Konstantinos DarasSenior Research Fellow in Health Data Science and AI

University of Liverpool, Waterhouse Building, Block F, Liverpool, L69 3GF, UK

© 2026 Dr. Konstantinos Daras. All rights reserved.